选择风格
黑色幽默
秋天来了
清晰绿
极速风格
玫瑰红色
灰色世界
第三元素
世界之窗
清新绿色
加入收藏
繁體中文
网站地图
鹤山市凤台慈善公益联谊会
秘 书 长:陈礼卫 联系电话:13824072585
‖
首页
‖
资讯
‖
史料
‖
世系
‖
谱牒
‖
探究
‖
文化
‖
族谱
‖
论坛
‖
留言
站内搜索
百度搜索
Google搜索
youdao搜索
雅虎搜索
您现在的位置:
首页
>>
谱牒
>> 内容
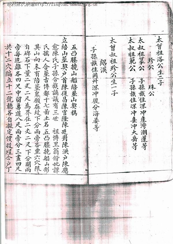
光绪三十三年《考源追本》(6)
时间:2012-8-25 10:25:00 点击:
上一页
1
2
3
4
5
6
下一页
Tags:
凌村
作者:陈能敦 来源:凌村陈氏族谱
上一篇:
布凌村陈氏族谱
下一篇:
道光三十年《新会城陈氏祠谱》
相关文章
·
居家养老,让凌村长者再添新“家”
·
凌村举行兄弟义士墓重修竣工庆典
·
凌村仁祖后裔新会城论读班派字
·
凌村印象:祖祠
·
凌村印象:门楼
·
千年址山古镇:世代助桑梓 忠义薪火传
·
民国二年《颍川堂历代家谱》
·
凌村玉我祖陈氏宗支图
·
凌村祖训八约
·
鹤山凌村陈氏源流
·
鹤山凌村陈氏十三里
·
凌村陈氏大事简记
·
五邑陈氏源流
·
【诗歌】悼730年前崖海英魂
·
仁祖后裔——进士陈经纶
·
陈仁——洛祖世系图
·
【诗歌】祖祠印象
·
鹤山凌村陈氏仁祖世系
·
700年前外迁的兄弟前来寻根 鹤山凌村迎来陈氏宗亲
·
被遗忘的凌村陈氏宗祠
共有评论
7
条
相关评论
发表我的评论
大名:
内容:
本类热门
08-25
·
民国二年《颍川堂历代家谱》
08-25
·
光绪三十三年《考源追本》
08-25
·
道光三十年《新会城陈氏祠谱》
08-25
·
布凌村陈氏族谱
08-31
·
民国十二年《陈族世谱》
08-25
·
陈氏姓源宗统传
05-20
·
凌村冈津陈氏族谱(英辅祖)
08-24
·
高明区高汉、万屋、田森陈氏家谱
08-24
·
新会《陈族世谱》:七子纪略
08-24
·
新会李苑《族谱志》
本类推荐
08-31
·
民国十二年《陈族世谱》
05-24
·
太祖谟翁遗牒曰
08-24
·
新会李苑《族谱志》
本类固顶
没有
陈氏宗亲网-凌村陈氏研究(
www.chens.org.cn
) © 2025 版权所有 All Rights Reserved.
鹤山市凤台慈善公益联谊会 陈氏宗亲网 主办
粤公网安备 44078402440806号